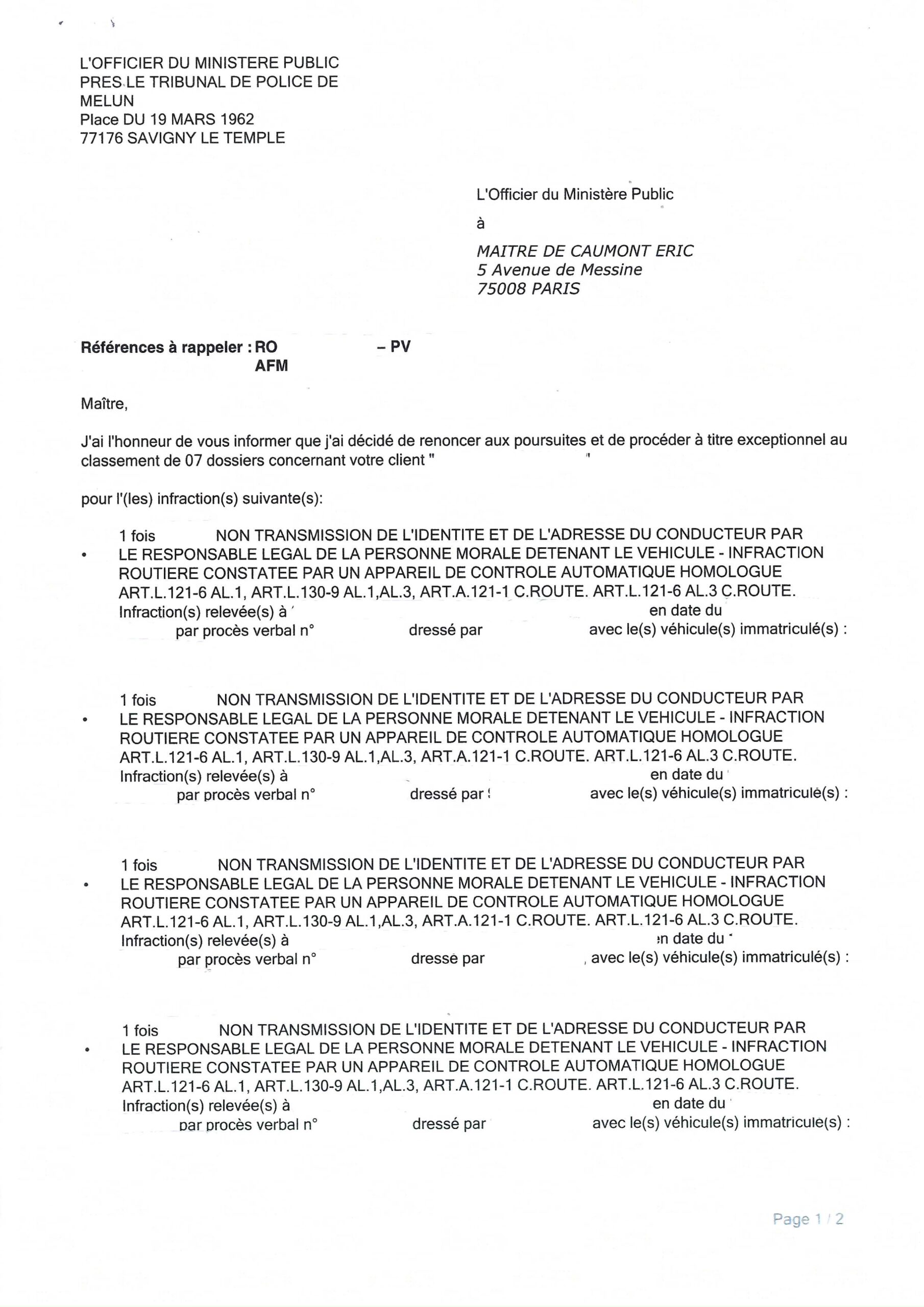
Résultats
Classement sans suite
27 mai 2026
Classement sans suite
26 mai 2026
Classement sans suite
22 mai 2026
Permis revalidé
21 mai 2026
Classement sans suite
20 mai 2026
Classement sans suite
19 mai 2026
Classement sans suite
18 mai 2026
Classement sans suite
15 mai 2026
Permis Revalidé
13 mai 2026








